- 159 · Page 3
Categories
StartLineEdu
145
Clarinet
27
Coding
64
C++
24
Python
25
Scratch
15
Economics
10
Flute
7
Math
9
Music Theory
10
Physics
3
Piano
11
Trombone
3
0:00:11
Piano - B♭ Major Arpeggio
Jackie Bai teaches you how to play the B♭ Major Arpeggio on the piano
Show More
Show Less
Piano
StartLine Edu
Live
Upcoming Events
Suggested
Private Content
Most popular
0:00:20
Clarinet - Concert E♭ Major scale
FHD
StartLine Edu
0:00:17
Clarinet - Concert Ab Major scale
FHD
StartLine Edu
0:00:12
Clarinet - Concert B♭ Major scale
FHD
StartLine Edu
0:02:12
Clarinet - Assembly + Parts of the Clarinet
FHD
StartLine Edu
0:00:20
Trombone - CMajor
FHD
StartLine Edu
0:02:25
Scratch Lesson 1: What is Scratch
HD
StartLine Edu
0:02:22
Scratch Lesson 2: Register for Scratch
HD
StartLine Edu
0:03:55
Scratch Lesson 4: Sprites
HD
StartLine Edu
0:04:04
Scratch Lesson 5: Motion Move Block
HD
StartLine Edu
0:07:18
Scratch Lesson 6: Motion Rotate & Go To Block
HD
StartLine Edu
0:08:39
Scratch Lesson 7: Rotation & Coordinates
HD
StartLine Edu
0:03:55
Scratch Lesson 8: Glide Project
HD
StartLine Edu
1
2
3
(current)
4
5
6
7
8
9
10
Flute
0:00:25
Tips for Expressive Sections of Music on Flute - Aaron Luan
StartLine Edu
0:00:27
Practicing Jumps on Flute - Aaron Luan
StartLine Edu
0:00:16
F#/G♭ Major on the Flute
StartLine Edu
0:00:16
Flute - Assembling the Flute
StartLine Edu
0:00:19
B♭ Major on Flute
HD
StartLine Edu
0:00:18
D♭ Major Scale on Flute - Aaron Luan
StartLine Edu
0:00:20
Flute C Major Scale - Aaron Luan
StartLine Edu
Math
0:05:04
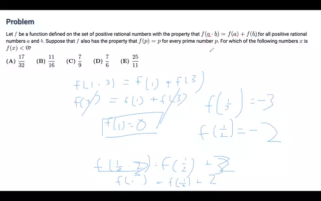
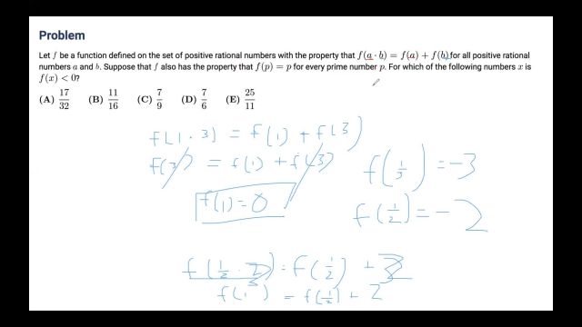
Math - 2020 AMC12A #16 Calvin Huang
HD
StartLine Edu
0:06:25
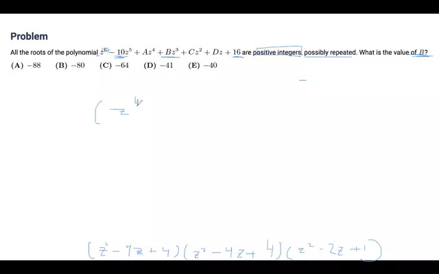
Math - 2020 AMC12A #13 Calvin Huang
HD
StartLine Edu
0:03:42
Trig - Fall AMC12A #19 By Calvin Huang
HD
StartLine Edu
0:09:04
Geometry - Fall AMC12A #21 By Calvin Huang
HD
StartLine Edu
0:06:03
Geometry - 2021 Fall AMC12B #15 Calvin Huang
HD
StartLine Edu
0:07:01
Math - 2021 AMC12A #19 By Calvin Huang
StartLine Edu
0:04:23
Math - 2021 AMC12A #18 By Calvin Huang
HD
StartLine Edu
0:08:33
Math - 2021 AMC12A 12 By Calvin Huang
HD
StartLine Edu
0:06:36
Math 2019 AMC 10A Problem 19 - Calvin Huang
StartLine Edu
StartLine Edu
0:05:04
Math - 2020 AMC12A #16 Calvin Huang
HD
StartLine Edu
0:06:25
Math - 2020 AMC12A #13 Calvin Huang
HD
StartLine Edu
0:03:42
Trig - Fall AMC12A #19 By Calvin Huang
HD
StartLine Edu
0:09:04
Geometry - Fall AMC12A #21 By Calvin Huang
HD
StartLine Edu
0:06:03
Geometry - 2021 Fall AMC12B #15 Calvin Huang
HD
StartLine Edu
0:07:01
Math - 2021 AMC12A #19 By Calvin Huang
StartLine Edu